반응형

01 배출가스의 유량의 온도 및 압력변화에 대한 보정
1. 배출가스의 유량공식

2. 배출가스 유량 온도 및 압력보정

02 입자상물질(고체, 액체)와 가스상물질(기체)의 변환
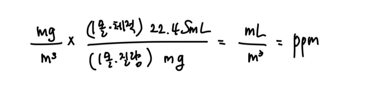
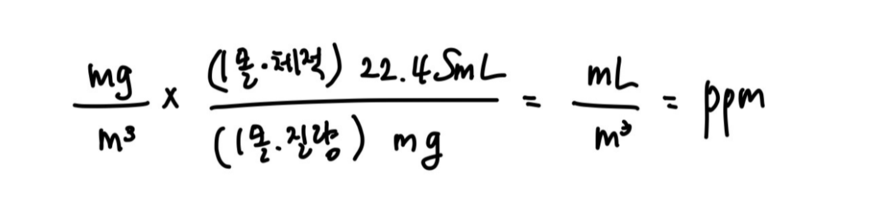
1. 입자상물질(㎎/㎥, ㎍/㎥) → 가스상물질(ppm, ppb)

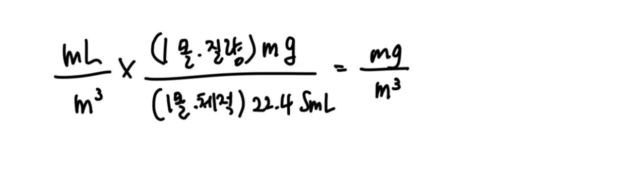
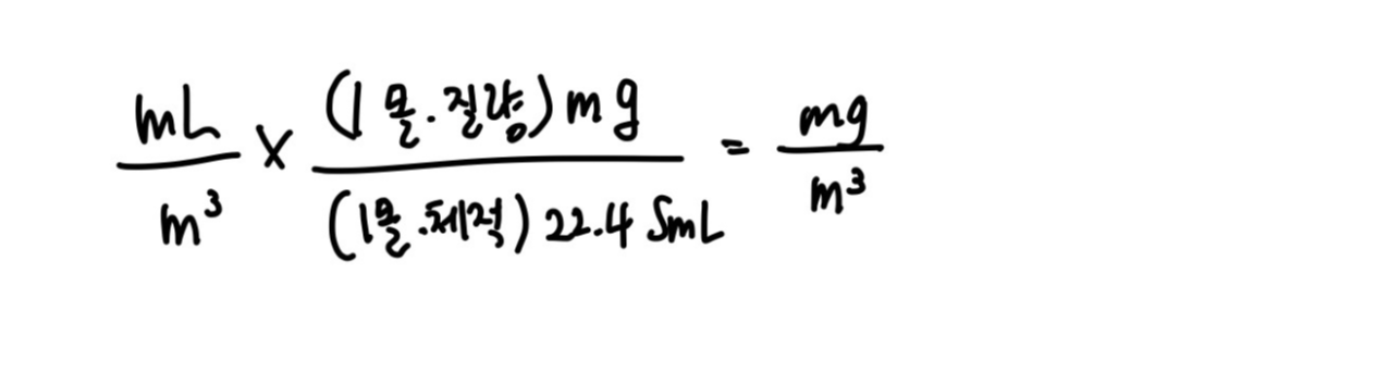
2. 가스상물질(ppm, ppb) → 입자상물질(㎎/㎥, ㎍/㎥)

반응형
'환경기사' 카테고리의 다른 글
| [3. 대기오염방지기술] 02 집진기술 (0) | 2023.02.12 |
|---|---|
| [3. 대기오염방지기술] 01 입자 및 집진기초 (0) | 2023.02.11 |
| [2. 연소공학] 05 화학반응속도 방정식 (0) | 2023.02.09 |
| [2. 연소공학] 04 등가비와 연소열화학 (0) | 2023.02.09 |
| [2. 연소공학] 03 연소계산 (0) | 2023.02.09 |
댓글