
1. 폐수처리 공정 선정시 검토해야할 지표 5가지
① 유입폐수의 특성
② 처리장 규모별 적용성
③ 처리수의 목표 수질
④ 유지관리의 경제성
⑤ 적용가능한 유량의 범위
2. 정수시설에서 무기물을 처리할때 고려할 공법 및 고려사항
1) 처리방법
염소처리, 막처리(역삼투), 폭기처리, 응집침전, 활성알루미나, 이온교환
2) 고려사항
① 원수수질
② 처리 목표수질 및 수량
③ 시설의 배치
④ 공사비 및 운전관리비 산정
3. 수질 시료 보존시 유리용기에만 보존해야하는 물질 4가지
노말헥산추출물질
페놀류
유기인
PCB
휘발성 유기화합물
4. 동적모형 정적모형
동적모형은 시간에 따라 변수들이 변화되는 모형을 말함
정적모형은 시간에 따라 변수들이 변화없이 일정한 모형을 말함
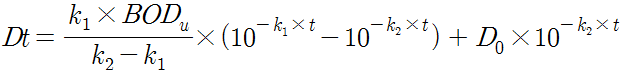
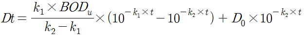
5. DO농도 공식

6. COD축정에서 과망간산칼륨 용액으로 적정할때 60-80도로 유지하면서 적정하는 이유
1) 온도가 높을때는 과망간산칼륨이 분해되어 적절한 종말점을 찾을 수 없다
2) 온도가 낮을때는 반응속도가 느려 정밀한 적정점을 찾기가 어렵다. 그만큼 오차가 발생한다.
7. 평형상수

8. 박테리아의 BOD와 NOD의 비율은 5 :2 이다. 유도해라

9. 메탄올의 이론량계산
계수비교!

10. 시궁창 바닥이 검은(black muck)현상의 이유
혐기상태에서 철분과 황산이온이 환원된 후 두 물질이 결합하여 황화철을 생성함. 이때 황화철이 검정색을 띠게 됨.
11. 레이놀즈 수

12. Manning 공식

13. 제거율

14. 맛 냄새 제거물질
염소(기체), 활성탄(고체), 오존(기체)
15. 포스트립 공정 그리고 조의 역할
폭기조 : 유기물생흡착, 탈인반송슬러지의 인과잉섭취
탈인조 : 혐기성 상태에서 슬러지의 인 용출
탈인반송슬러지 : 폭기조에 반송되어 유입수내 인 과잉섭취
약품침전지 : 석회 등의 응집제를 이욯애 탈인조 상등액의 인을 화학적으로 침전
16. 산기식 포기장치 설치시 고려할 사항 5가지
① 산기장치에는 산기판, 산기관, 산기노즐을 사용함
② 포기조를 비우지 않고 임의로 인양할 수 있도록 함
③ 산기장치는 균일하게 공기를 분출하는 것을 사용함
④ 산기장치는 내구성이 풍부해야함
⑤ 내산 및 내알칼리성을 사용함
'환경기사' 카테고리의 다른 글
| 수질환경기사 실기 #5 (1) | 2023.04.22 |
|---|---|
| 수질환경기사 실기 #4 (0) | 2023.04.20 |
| 수질환경기사 실기 #2 (0) | 2023.04.12 |
| 수질환경기사 실기 #1 (0) | 2023.04.12 |
| 내가 볼려고 만든 3 (0) | 2023.02.19 |
댓글