본문 바로가기
환경기사

[1. 대기오염개론] 05 대기확산

by onndoo 2023. 1. 29.
반응형

 

01 대기안정도 및 혼합고

1. 체감률

1) 건조단열감률(Dry adiabatic lapse rate)

정의 :  공기가 불포화상태에서(상대습도 100%이하) 공기가 주위환경과 단열된 상태에서 높이에 따른 기온변화율

(체감률 : 약 -0.98℃/100m)

2) 습윤단열감률(Moist adiabatic lapse rate)

정의 : 공기가 냉각되어 상대습도가 100%가 되었을때 공기가 상승하여 공기가 응결하게 됨.

3) 환경감률 (Environmental lapse rate)

정의 : 측정기구를 이용하여 높이에 따른 실제 기온변화율을 측정하여 나타낸 것

 

2. 정적 안정도

1) 온위( Potential temperature)

정의 : 단위부피의 공기가 최초기압에서 건조단열적으로 표준기압(1000mbar) 으로 이동되었을때 기단이 갖는 온도

온위는 밀도에 반비례하며 온위가 감소하면 대기는 불안정, 증가하면 대기는 안정한 상태

 

2) 대기안정도

안정도 상태
단열
환경감률이 건조단열감률보다 상태, 불안정상태
단열
 환경감률이 건조단열감률보다 작은 상태, 약한 안정상태
중립
 환경감률이 건조단열감률과 같은 상태, 맑은 오후에 관찰됨
 고도가 증가함에 따라 온위가 변하지 않고 일정한 대기의 안정도
역전
 환경감률이 건조단열감률보다 작은 안정한 상태
 고도에 따른 기온이 상승하여 상하의 수직운동이 이루어지지 않음
등온
 고도에 따른 기온변화가 없는 상태로 공기의 상하혼합이 잘 이루어지지 않음

상승공기의 온도 < 주위 온도 : 하강 (안정)

상승공기의 온도 > 주위 온도 : 상승 (불안정)

 

3. 동적 안정도

1) 리차든 수

정의 : 일차원 수로서 기계난류를 대류난류로 전환시키는 율을 측정한 것

안정도 판정

리차든 수  특성
~ -0.04 대류에 의한 혼합이 기계적 난류를 지배
-0.03 ~ 0 기계적 난류와 대류가 존재하나 기계적 난류가 주로 혼합을 일으킴
0 기계적 난류만 존재
0 ~ 0.25 성층에 의해 약화된 기계적 난류가 존재
0.25 ~ 수직방향의 혼합은 없음

 

2) 파스킬

대기안정도를 낮에는 일사량, 풍속으로 하고

야간에는 운량, 운고, 풍속 을 조합시켜 6단계로 분류

 

4. 혼합고

1) 혼합고 (Mixing Height)

정의 : 지표로부터 불안정한 층까지의 높이로 대류가 발달하는 깊이

2) 최대혼합고

 

5. 역전

종류 정의 및 특성
공중역전 침강역전 ○ 고기압 중심부분에서 기층이 서서히 침강하면서 기온이 단열변화로 승온되어 발생
 LA 스모그
전선역전 비교적 높은 고도에서 따-> 차 공기 위로 전선을 이루는 현상
난류역전 ○  지표면에 강한 바람이 불때 난류면 상단에 생기는 역전
해풍역전 ○ 아침에 냉각된 해풍이 육지로 불면서 발생하는 현상
지표역전 복사역전 ○ 지표면의 공기가 빠르게 냉각되어 생기는 역전
이류역전 ○ 따 -> 차가운 지표면 위로 흘러갈때 발생하는 현상
○ 주로 산을 넘는 따뜻한 바람과 차가운 지표와 만날때 형성

공중에는 난해침전, 지표에는 복이..

 

02 대기확산방정식 및 확산모델

1. Fick 의 확산방정식

① 풍향 풍속 온도 시간에 따른 변화가 없는 정상상태

점배출원으로부터 연속적으로 방출

③ 오염물질은 plume 내에서 소멸되거나 생성되지 않음

④ 대기안정도와 확산계수는 변하지 않음 

⑤ 오염물의 주 이동방향은 x 축이고 풍속은 일정

 

2. 수용모델

① 기상 지형정보없이도 사용가능

불확실한 오염원을 정량적으로 확인가능

③ 영향평가가 현실적으로 이루어짐

시나리오 작성이 곤란

미래예측이 어려움

 

3. 분산모델

① 미래의 대기질을 예측할 수 있음

점선면의 오염원의 영향을 평가할 수 있음

2차오염원의 확인이 가능

④ 대기오염제거 정책입안에 도움을 줌

오염물의 단기간 분석 시 문제가 됨

⑥ 지형 및 오염원의 조업조건에 영향을 받음

⑦ 새로운 오염원이 지역 내 신설할 때 매번 재평가해야함

모델종류 가정조건
상자모델 ○ 오염물질의 분해가 있는 경우는 2차에 의함
고려되는 공간에서 오염물질의 농도는 균일
오염물질은 방출과 동시에 균등하게 혼합
바람의 속도가 일정하여 환기량이 일정
농도가 시간에 의해서만 변하는 0차원 모델
완전혼합형 (CFSTR) 모델
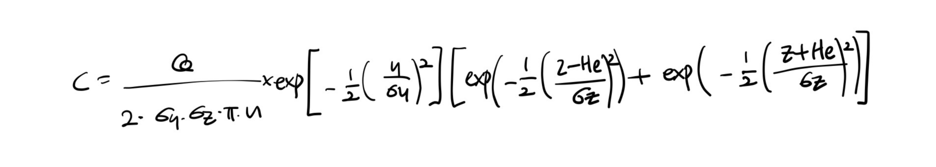
가우시안 모델 연기의 분산은 정상상태 분포를 가짐
주 이동방향은 x축이고 풍속은 일정
점배출원으로부터 연속적으로 배출됨
풍하방향으로의 확산은 무시
오염물질은 plume 내에서 소멸되거나 생성되지 않음
표준편차 설정조건
평탄한 지표, 풍하거리 및 대기안정상태와 관려, 시료채취시간은 10분, 고도에 따라 변하며 대기 중에서 하부 수백 m 에 국한하여 사용

※ 가우시안 확산방정식의 공식

03 오염물질의 확산

1. 연기확산

종류 형태 특징
부채형
(Fanning)
○ 대기가 매우 안정한 상태일때
밤 ~ 해뜨기전에 발생(새벽)
굴뚝의 높이가 낮을 시 지표 부근에 심각한 오염문제가 발생
훈증형
(Fumigation)
상층은 안정, 하층은 불안정일때 발생(30분 이상 지속되지 않음)
굴뚝 배출원에 의해 지표 오염도가 매우 높음
원추형
(Coning)
 중립조건
바람이 강하고 흐린날 오후에 발생
오염의 단면분포가 가우시안 분포를 나타냄

환상형
(Looping)
과단열감률 상태의 대기일 때 발생
바람이 강하고 맑은 날 낮 동안 불안정한 대류경계층에서 발생
지붕형
(Lofting)
상층은 불안정, 하층은 안정일때 발생
바람이 약하고 맑은 초저녁부터 아침에 발생
구속형
(Trapping)
상공에 공중역전층, 지표부근에 복사역전층이 있을때 발생
주로 밤부터 새벽에 발생

 

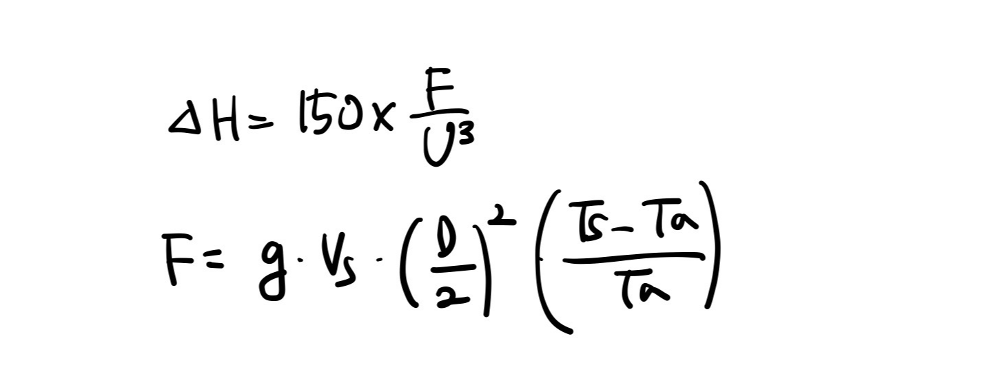
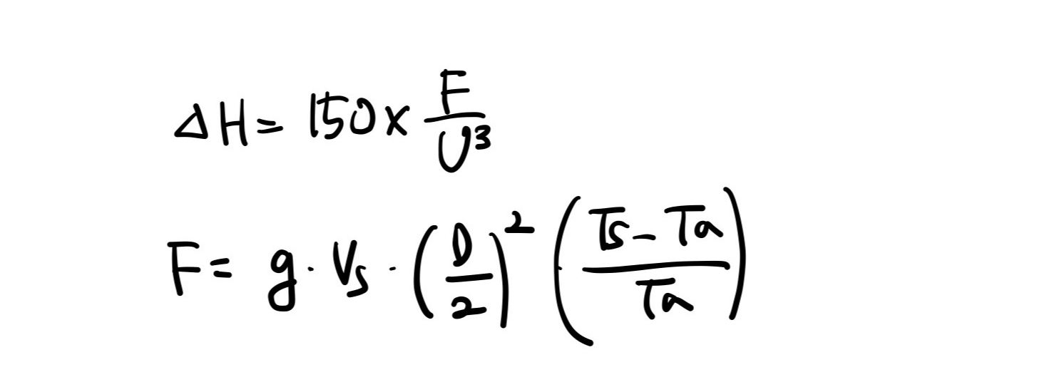
2. 유효굴뚝 높이

정의 : 실제 굴뚝높이에 연기의 상승높이를 더한 높이

Smith식

Holland식

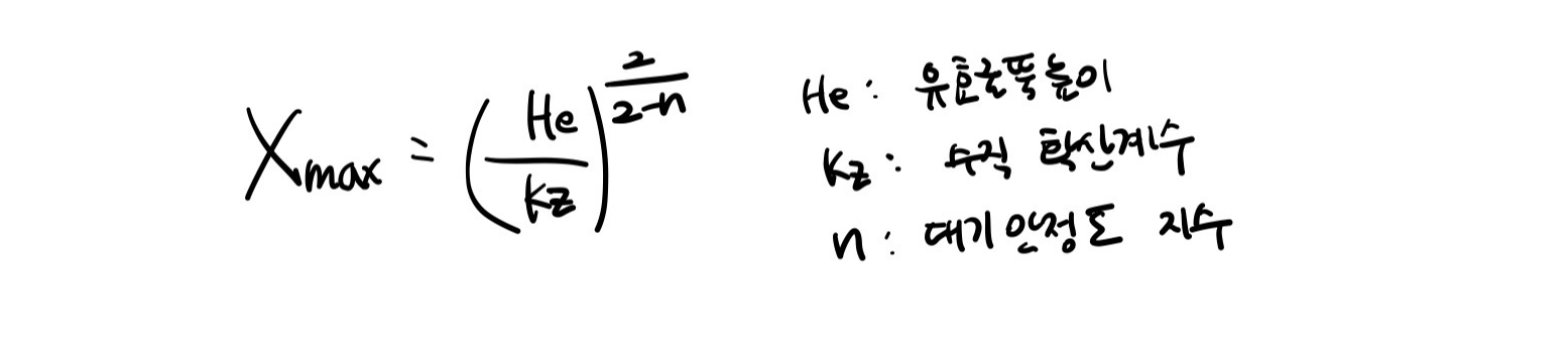
최대지표농도

최대착지농도

3. 복잡한 지형에서의 연기확산

1) 다운워시 (Down Wash)

정의 : 굴뚝 아래로 오염물질이 휘날리며 굴뚝 밑 부분에서 오염물질의 농도가 높아지는 현상

대책 : 토출속도를 풍속의 2배 이상으로 유지

2) 다운드래프트(Down Draft)

정의 : 굴뚝의 풍하측에 위치하는 건물 및 지형의 영향을 받아 연기가 풍하방향으로 휘말려 떨어지는 현상

대책 : 연돌의 높이를 주변 지물높이보다 2.5배 이상으로 유지

 

4. 굴뚝 통풍력 

반응형

댓글