
1. 산기식 포기장치 설치 시 고려할 기본사항
산기 노즐을 사용
포기조를 비우지 않고 임의로 인양함
내구성이 풍부
내산과 내알칼리성
균일하게 공기를 분출하는 것
2. 산기식 포기장치 설치 시 기초자료
수온, MLSS농도, 유입 BOD부하량, F/M비, 포기조용량, SRT
3. CFSTR반응조 공식

4. 혐기성 소화조에서 부유식 지붕의 장점 (이동식)
부피가 변하므로 운영상의 융통성이 크다
스컴이 수중에 잠기게 되므로 스컴을 혼합시킬 필요가 없음
소화가스와 산소가 혼합되어 폭발가스가 될 위험을 최소화시킴
통상 0.6-1.8m의 높이를 이동할 수 있으므로 지붕 아래에 가스저장을 위한 공간이 부여됨
5. 5단계 Bardenpho 과정

혐기조 : 인방출
무산소조 : 제1호기조에서 반송된 질산화된 혼합액의 탈질산화
호기조 : 질산화, 인과잉섭취
무산소조 : 호기조에서 질산화된 혼합액의 탈질산화
호기조 : 인 방출을 막아줌, 산소부족으로 탈질산화되어 N2의생성으로 슬러지 부상을 막아줌
6. Ca(OH)2 소석회 관련 반응식
5Ca2+ : 3PO4 3-
7. SBR의 장점
운전방식에 따라 사상균 벌킹방지 가능
오수의 양과 질에 따라 포기시간과 침전시간을 자유롭게 설정가능
단일반응조 내에서 1주기 중에 호기-무산소-혐기 의 조선을 설정해 질산화 및 탈질반응을 도모할 수 있음
활성슬러지 혼합액을 이상적인 정치상태에서 침전시켜 고액분리가 원활히 행해진다.
별도의 2차 침전지 및 슬러지 반송설비가 불필요함
8. 등비증가법
Pn=Po*(1+r)^n
9. 취수지점 선정 시 고려사항
수원으로서 구비요건을 갖추어야 함
수리권 확보가 가능한 곳이어 여함
상수도시설의 건설 및 유지관리가 용이하며 안전해야 함
상수도시설의 건설비 및 유지비가 저렴해야 함
장래 확장 시 유리한 곳이 여야 함
상수원보호구역의 지정으로 수질오염방지 및 관리에 무리가 없는 지점 이어야 함
10. 마찰손실수두

11. 포기조내 혼합액의 DO가 감소되는 원인을 추정하기 위한 알고리즘이다. 원인을 적어라

12. 염소소독 시 고려해야 할 5가지 영향인자
잔류염소의 형태, pH, 온도, 주입농도, 접촉시간
13. 여과지 설치 시 고려할 중요인자
여재의 종류, 공극률, 비표면적, 균등계수, 여재의 입경
14. 수리전도도

15. 분리막 모듈의 형식 세 가지
중공사형 모듈, 판형 모듈, 나선형 모듈
16. 경심
R=A/S
17. 맛냄새제거물질로 사용되는 화학약품
염소(기체), 활성탄(고체), 오존(기체)
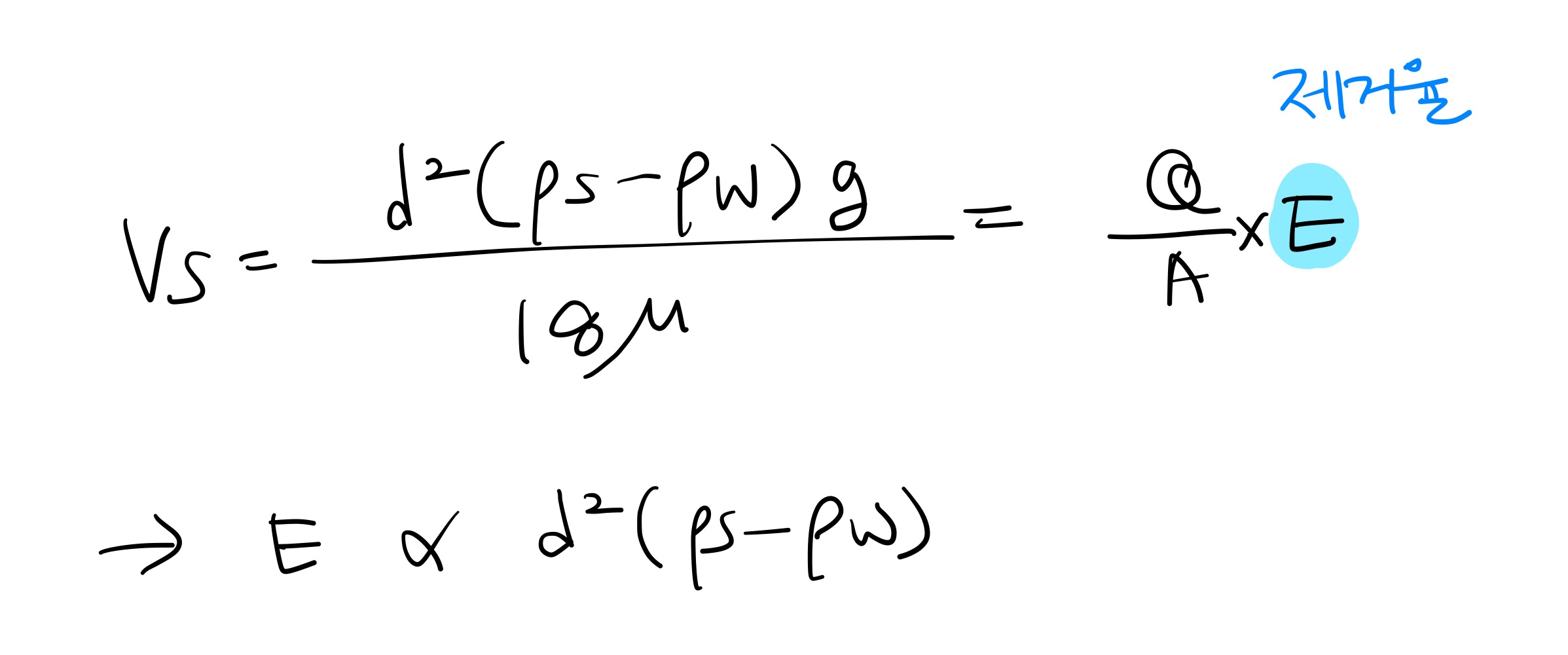
18. 제거율

19. 공정순서
1) 스크린-침사지-1차 침전조-포기조-2차 침전지-응집조-부상-유출
2) 포기조의 체적 공식
20. 하수배제 방식에 따른 분류식과 합류식

21. 영향평가 순서
스크리닝-목표기술-대안설정-스코핑-현황조사-예측 및 평가-저감방안설정-대안평가-평가서/보고서작성-사후관리
22. 투석: 농도차, 전기투석 : 전위차, 역삼투: 정수압차
23. 유기탄소를 이용하는 종속미생물
빛을 에너지원으로 이용하는 광합성 미생물
전자수용체로 아질산염, 질산염을 이용하는 반응은 무산소조건
'수질환경기사 > 수질환경기사 실기' 카테고리의 다른 글
| 수질환경기사 실기 #6 (0) | 2023.04.22 |
|---|---|
| 수질환경기사 실기 #5 (1) | 2023.04.22 |
| 수질환경기사 실기 #3 (0) | 2023.04.14 |
| 수질환경기사 실기 #2 (0) | 2023.04.12 |
| 수질환경기사 실기 #1 (0) | 2023.04.12 |
댓글