
01 대기안정도 및 혼합고
1. 체감률
1) 건조단열감률(Dry adiabatic lapse rate)
정의 : 공기가 불포화상태에서(상대습도 100%이하) 공기가 주위환경과 단열된 상태에서 높이에 따른 기온변화율
(체감률 : 약 -0.98℃/100m)
2) 습윤단열감률(Moist adiabatic lapse rate)
정의 : 공기가 냉각되어 상대습도가 100%가 되었을때 공기가 상승하여 공기가 응결하게 됨.
3) 환경감률 (Environmental lapse rate)
정의 : 측정기구를 이용하여 높이에 따른 실제 기온변화율을 측정하여 나타낸 것
2. 정적 안정도
1) 온위( Potential temperature)
정의 : 단위부피의 공기가 최초기압에서 건조단열적으로 표준기압(1000mbar) 으로 이동되었을때 기단이 갖는 온도
온위는 밀도에 반비례하며 온위가 감소하면 대기는 불안정, 증가하면 대기는 안정한 상태

2) 대기안정도
| 안정도 | 상태 | |
| 과단열 | ![]() |
○ 환경감률이 건조단열감률보다 큰 상태, 불안정상태 |
| 미단열 | ![]() |
○ 환경감률이 건조단열감률보다 작은 상태, 약한 안정상태 |
| 중립 | ![]() |
○ 환경감률이 건조단열감률과 같은 상태, 맑은 오후에 관찰됨 ○ 고도가 증가함에 따라 온위가 변하지 않고 일정한 대기의 안정도 |
| 역전 | ![]() |
○ 환경감률이 건조단열감률보다 작은 안정한 상태 ○ 고도에 따른 기온이 상승하여 상하의 수직운동이 이루어지지 않음 |
| 등온 | ![]() |
○ 고도에 따른 기온변화가 없는 상태로 공기의 상하혼합이 잘 이루어지지 않음 |
상승공기의 온도 < 주위 온도 : 하강 (안정)
상승공기의 온도 > 주위 온도 : 상승 (불안정)
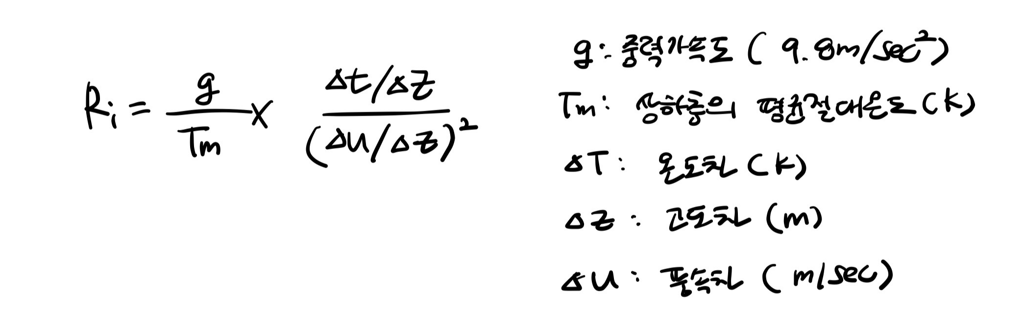
3. 동적 안정도
1) 리차든 수
정의 : 일차원 수로서 기계난류를 대류난류로 전환시키는 율을 측정한 것

안정도 판정
| 리차든 수 | 특성 |
| ~ -0.04 | 대류에 의한 혼합이 기계적 난류를 지배 |
| -0.03 ~ 0 | 기계적 난류와 대류가 존재하나 기계적 난류가 주로 혼합을 일으킴 |
| 0 | 기계적 난류만 존재 |
| 0 ~ 0.25 | 성층에 의해 약화된 기계적 난류가 존재 |
| 0.25 ~ | 수직방향의 혼합은 없음 |
2) 파스킬
대기안정도를 낮에는 일사량, 풍속으로 하고
야간에는 운량, 운고, 풍속 을 조합시켜 6단계로 분류
4. 혼합고
1) 혼합고 (Mixing Height)
정의 : 지표로부터 불안정한 층까지의 높이로 대류가 발달하는 깊이

2) 최대혼합고
5. 역전
| 종류 | 정의 및 특성 | |
| 공중역전 | 침강역전 | ○ 고기압 중심부분에서 기층이 서서히 침강하면서 기온이 단열변화로 승온되어 발생 ○ LA 스모그 |
| 전선역전 | ○ 비교적 높은 고도에서 따-> 차 공기 위로 전선을 이루는 현상 | |
| 난류역전 | ○ 지표면에 강한 바람이 불때 난류면 상단에 생기는 역전 | |
| 해풍역전 | ○ 아침에 냉각된 해풍이 육지로 불면서 발생하는 현상 | |
| 지표역전 | 복사역전 | ○ 지표면의 공기가 빠르게 냉각되어 생기는 역전 |
| 이류역전 | ○ 따 -> 차가운 지표면 위로 흘러갈때 발생하는 현상 ○ 주로 산을 넘는 따뜻한 바람과 차가운 지표와 만날때 형성 |
|
공중에는 난해침전, 지표에는 복이..
02 대기확산방정식 및 확산모델
1. Fick 의 확산방정식
① 풍향 풍속 온도 시간에 따른 변화가 없는 정상상태
② 점배출원으로부터 연속적으로 방출
③ 오염물질은 plume 내에서 소멸되거나 생성되지 않음
④ 대기안정도와 확산계수는 변하지 않음
⑤ 오염물의 주 이동방향은 x 축이고 풍속은 일정
2. 수용모델
① 기상 지형정보없이도 사용가능
② 불확실한 오염원을 정량적으로 확인가능
③ 영향평가가 현실적으로 이루어짐
④ 시나리오 작성이 곤란
⑤ 미래예측이 어려움
3. 분산모델
① 미래의 대기질을 예측할 수 있음
② 점선면의 오염원의 영향을 평가할 수 있음
③ 2차오염원의 확인이 가능
④ 대기오염제거 정책입안에 도움을 줌
⑤ 오염물의 단기간 분석 시 문제가 됨
⑥ 지형 및 오염원의 조업조건에 영향을 받음
⑦ 새로운 오염원이 지역 내 신설할 때 매번 재평가해야함
| 모델종류 | 가정조건 |
| 상자모델 | ○ 오염물질의 분해가 있는 경우는 2차에 의함 ○ 고려되는 공간에서 오염물질의 농도는 균일 ○ 오염물질은 방출과 동시에 균등하게 혼합 ○ 바람의 속도가 일정하여 환기량이 일정 ○ 농도가 시간에 의해서만 변하는 0차원 모델 ○ 완전혼합형 (CFSTR) 모델 |
| 가우시안 모델 | ○ 연기의 분산은 정상상태 분포를 가짐 ○ 주 이동방향은 x축이고 풍속은 일정 ○ 점배출원으로부터 연속적으로 배출됨 ○ 풍하방향으로의 확산은 무시 ○ 오염물질은 plume 내에서 소멸되거나 생성되지 않음 ○ 표준편차 설정조건 평탄한 지표, 풍하거리 및 대기안정상태와 관려, 시료채취시간은 10분, 고도에 따라 변하며 대기 중에서 하부 수백 m 에 국한하여 사용 |
※ 가우시안 확산방정식의 공식

03 오염물질의 확산
1. 연기확산
| 종류 | 형태 | 특징 |
| 부채형 (Fanning) |
![]() |
○ 대기가 매우 안정한 상태일때 ○ 밤 ~ 해뜨기전에 발생(새벽) ○ 굴뚝의 높이가 낮을 시 지표 부근에 심각한 오염문제가 발생 |
| 훈증형 (Fumigation) |
![]() |
○ 상층은 안정, 하층은 불안정일때 발생(30분 이상 지속되지 않음) ○ 굴뚝 배출원에 의해 지표 오염도가 매우 높음 |
| 원추형 (Coning) |
![]() |
○ 중립조건 ○ 바람이 강하고 흐린날 오후에 발생 ○ 오염의 단면분포가 가우시안 분포를 나타냄 |
| 환상형 (Looping) |
![]() |
○ 과단열감률 상태의 대기일 때 발생 ○ 바람이 강하고 맑은 날 낮 동안 불안정한 대류경계층에서 발생 |
| 지붕형 (Lofting) |
![]() |
○ 상층은 불안정, 하층은 안정일때 발생 ○ 바람이 약하고 맑은 초저녁부터 아침에 발생 |
| 구속형 (Trapping) |
![]() |
○ 상공에 공중역전층, 지표부근에 복사역전층이 있을때 발생 ○ 주로 밤부터 새벽에 발생 |
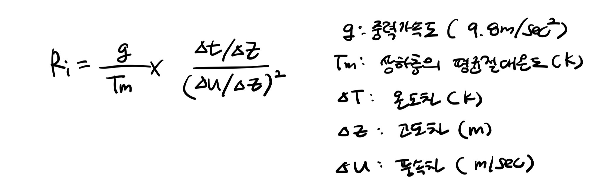
2. 유효굴뚝 높이
정의 : 실제 굴뚝높이에 연기의 상승높이를 더한 높이
Smith식

Holland식

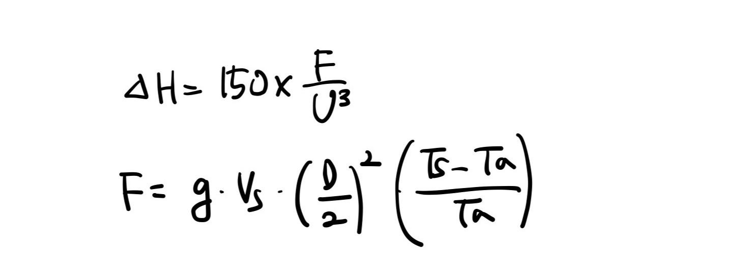
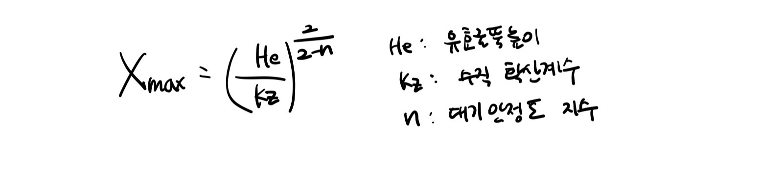
최대지표농도

최대착지농도

3. 복잡한 지형에서의 연기확산
1) 다운워시 (Down Wash)
정의 : 굴뚝 아래로 오염물질이 휘날리며 굴뚝 밑 부분에서 오염물질의 농도가 높아지는 현상
대책 : 토출속도를 풍속의 2배 이상으로 유지
2) 다운드래프트(Down Draft)
정의 : 굴뚝의 풍하측에 위치하는 건물 및 지형의 영향을 받아 연기가 풍하방향으로 휘말려 떨어지는 현상
대책 : 연돌의 높이를 주변 지물높이보다 2.5배 이상으로 유지
4. 굴뚝 통풍력

'대기환경기사 > 대기환경기사 1,2,3단원' 카테고리의 다른 글
| [1. 대기오염개론] 07 기후변화 대응 (0) | 2023.01.29 |
|---|---|
| [1. 대기오염개론] 06 대기오염물질의 배출원 및 영향 (0) | 2023.01.29 |
| [1. 대기오염개론] 04 가스상 오염물질 (0) | 2023.01.29 |
| [1. 대기오염개론] 03 입자상 오염물질 (0) | 2023.01.29 |
| [1. 대기오염개론] 02 대기의 구분 (0) | 2023.01.29 |











댓글