반응형

01. 기본단위
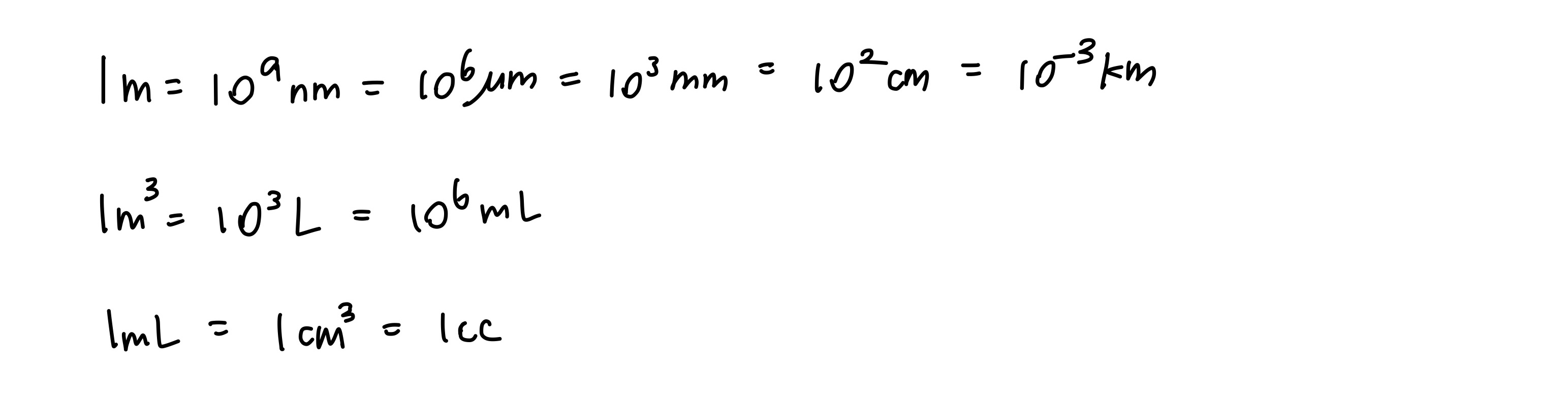
1. 길이(차원 L)

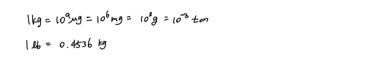
2. 무게(차원 M)

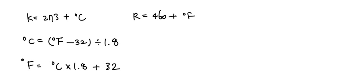
3. 온도

4. 압력(차원 ML⁻¹T⁻²)

5. 점성계수

6. 동점성계수

7. 힘

02. 원자량과 분자량
1. 원자량 : 탄소원자의 원자량을 기준으로 다른원자들의 질량을 비교하여 상대적으로 나타낸 질량값
| 원소 | 명명법 | 원자량 | 원소 | 명명법 | 원자량 |
| H | 수소 | 1 | Mg | 마그네슘 | 24 |
| C | 탄소 | 12 | Al | 알루미늄 | 27 |
| N | 질소 | 14 | S | 황 | 32 |
| O | 산소 | 16 | Cl | 염소 | 35.5 |
| F | 불소 | 19 | K | 칼륨 | 39 |
| Na | 나트륨 | 23 | Ca | 칼슘 | 40 |
2. 분자량
| 원소 | 분자량 | 원소 | 분자량 |
| NH₃ | 17 | H₂S | 34 |
| NO₃ | 62 | HCl | 36.5 |
| CO₂ | 44 | CaCO₃ | 100 |
| CH₄ | 16 | H₂SO₄ | 98 |
| C₃H₈ | 44 | NaOH | 40 |
★ 공기의 분자량 = N₂ 분자량 X 함량 + O₂ 분자량 X 함량
= 28 X 0.79 + 32 X 0.21 = 28.84
03 농도표시
1. 몰농도(M, mol/L)
정의 : 용액 1L에 용해되어 있는 용질의 몰 수
1mol의 입자수 : 6.02 X 10²³개
1mol = (원자량, 분자량)g = 22.4SL(0도, 1기압)
1kmol = (원자량, 분자량)kg = 22.4Sm³(0도, 1기압)
※ S= standard 표준상태라는 의미(0도, 1기압)
★ KNnO₄ 는 5가, K₂Cr₂O₇ 는 6가
2. 노르말 농도(N, eq/L)
정의 : 용액 1L 에 용해되어 있는 용질의 g당량 수
분자량/가수
3. ppm
백만분율을 나타내는 단위
V/V,W/W로 표현하지만 용액이 물인 경우 mg/L로 표현 할 수 있음
반응형
'환경기사' 카테고리의 다른 글
| [1. 대기오염개론] 06 대기오염물질의 배출원 및 영향 (0) | 2023.01.29 |
|---|---|
| [1. 대기오염개론] 05 대기확산 (0) | 2023.01.29 |
| [1. 대기오염개론] 04 가스상 오염물질 (0) | 2023.01.29 |
| [1. 대기오염개론] 03 입자상 오염물질 (0) | 2023.01.29 |
| [1. 대기오염개론] 02 대기의 구분 (0) | 2023.01.29 |
댓글