본문 바로가기
환경기사

수질환경기사 실기 #6

by onndoo 2023. 4. 22.
반응형



1. 주요막공법중 물질전달을 유발시키는 추진력을 기술하시오
1) 투석: 농도차
2) 전기투석 : 전위차
3) 역삼투 : 정수압차

2. 해수의 담수화방식
1) 상변화방식
증발법 : 다단플래쉬법
결정법 : 냉동법

2) 상불변방식
막법 : 역삼투법
용매추출법

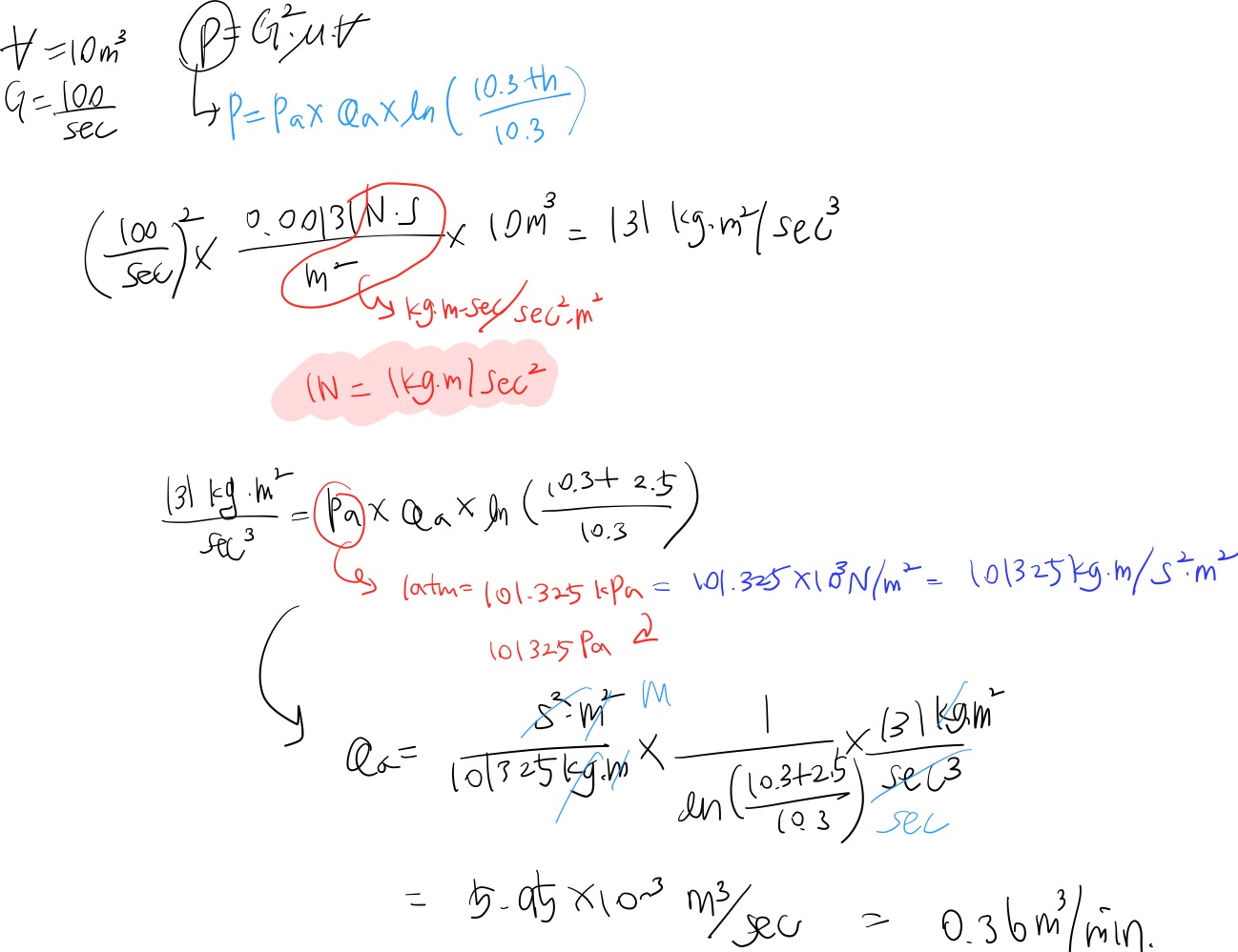
3. 공기량 계산
공기를 주입하여 응집하고자함. 깊이가 2.5m 인 조에서 체적이 10m3일때, G값을 100s-1로 유지하는데 필요한 공기량(m3/min)은? (단 , 수온 10도인 경우이며, Q= 0.1m3/s, 점도 = 0.00131Ns/m2)



4. 호기성에 비해 혐기성 소화법이 가지는 장점과 단점
1) 장점 : 메탄생성
슬러지 생성량이 적다 (가스)
동력비와 유지관리비가 적게 듬(산기장치가 없기에)

2) 단점 : 높은 온도가 요구됨
미생물의 성장속도가 느려 분해시간이 길다
악취가 발생함

5. 부영양화 방지대책 중 호수 내 가능한 통제방법
조류제거를 위해 황산구리를 주입함(화학적처리)
조류흡착제거를 위해 활성탄을 뿌림(물리적)
호수의 퇴적물을 준설함

6. 침전 형태
독립침전 : 침강 입자간 상호간섭이 없이 자유롭게 일정속도로 침전되는 형태
응결침전 : 입자간 상호 충돌에 의해 응결되면서 침전되는 형태
방해또는 지역 간섭침전 : 입자간의 작용하는 힘에 의해 주변입자들의 침전을 방해하면서 침전되는 상태
압축 또는 압밀침전 : 입자들의 농도가 너무 커 입자들끼리 구조물을 형성하여 압밀에 의해 침전되는 상태

7. COD공식
NVf=N’V’f’
COD=(a-b)*f*1000/V*0.025*8

8. SAR산정을 설명해라
농업용수는 식물성장에 지정을 주어서는 안되며 토양의 배수성이 중요함
용수내 Ca2+ , Mg2+보다 Na+함유도가 증가하면 Na+이온이 토양에 존재하는 H+이온과 치환되어 pH가낮아져 산성이 되어 투수성감소로 식물에 영향을 줌


9. 관정부식을 일으키는 원인물질을쓰고 방지대책
원인물질 : 황화수소(H2S)
방지대책
공기, 산소, 과산화수소, 초산염 등의 약품주입으로 황화수소발생억제
관거청소하고 미생물의 생식장소를 제거함
환기를 시켜 희석시킴
산화제의 첨가나 금속염의 첨가로 황화수소의 대기중으로 확산을 방지함.
방식재료를 사용해 관을 방호함
유황산화세균의 활동을 억제함

10. 공동현상(캐비네이션)
정의 : 펌프의 내부에서 유속이 급변 또는 와류 발생등에 의해 유체의 압력이 감소하여 포화수증기압에 가까워지면 수중에 용존되어 있는 기체가 액체 중에 분리되어 기포가 되며 더욱이 포화수증기압 이하로 되면 물이 기화되어 흐름 중에 공동이 생기는 현상을 말함
영향 : 펌프에 진동 소음 침식 을 발생시켜 양수불능의 고장을 유발함

11. 6가크롬을 처리하는 방법으로 환원침전법
원리 : 6가 크롬은 환원제를 주입해 pH2-3조건에서 3가 크롬으로 환원됨, 환원된 3가 크롬은 pH8-10에서 Cr(OH)3으로 환원됨
환원제 : SO2, Na2SO3, FeSO4, Na2S2O3

반응형

'환경기사' 카테고리의 다른 글

수질환경기사 실기#8  (0) 2023.04.22
수질환경기사 실기 #7  (0) 2023.04.22
수질환경기사 실기 #5  (1) 2023.04.22
수질환경기사 실기 #4  (0) 2023.04.20
수질환경기사 실기 #3  (0) 2023.04.14

댓글