
01 등가비(φ, equivalent ratio)
1. 등가비 정의
이론적인 연공비(공연비의 역수)에 대해 실제 연소되는 연공비가 몇배 되는가를 표시한 것(=당량비)
등가비(φ)
=[실제연료량/산화제의 비] / [완전 연소를 위한 이상적 연료량/산화제의 비]
공기비(m) = 1/φ
※ 등가비와 연소관계
| 종류 | 특징 | |
| φ =1 | 완전연소, 연료와 산화제의 혼합이 이상적 | |
| φ > 1 | 연료 과잉, 공기부족, 불완전연소 | CO증가, NOx감소 |
| φ < 1 | 공기 과잉, 연료부족, 완전연소가 기대됨 | CO감소, NOx 증가 |
02 연소열화학
※ (Gibbs) 깁스자유에너지
① 평형상태에서는 ΔG=0이다
② ΔG <0 이면 반응은 자발적이다
③ 엔트로피가 증가할수록 깁스에너지는 감소함
④ 혼합물의 경우 ΔG 는 반응물과 생성물의 농도에 관계함
1. 발열량
1) 고체/액체 연료의 저발열량(HL) : Dulong식
① 고발열량(Hh)이 제시되지 않고 원소조성(C H S O)이 제시된 경우
Hh (kcal/kg) = 8100C + 34000 (H-O/8) + 2500S
HL (kcal/kg) = Hh - 600(9H +W)
② 고발열량(Hh)이 제시된 경우
HL(kcal/kg) =Hh - 600 (9H+W)
2) 기체연료의 저발열량(HL)
HL(kcal/S㎥) = Hh - 480∑H₂O
3) 저발열량을 이용한 이론공기량(Ao), 이론가스량(Go) : Rosin 식
① 고체연료 : Ao(S㎥/kg) = 1.01 × (HL/1000)+ 0.5
② 액체연료 : Ao(S㎥/kg) = 0.85 × (HL/1000) + 2.0
③ 이론가스량 : Go(S㎥/kg) = 1.11 × (HL/1000)
4) 이론연소 온도(to)
이론연소온도 공식
to = ( HL / G × Cp ) + t
5) 연소실 열발생율
연소실 단위용적당 단위시간에 발생되는 열량을 말함 (= 연소실 열부하)
Qc = ( HL × Gf ) / V (kcal/㎥·hr)
6) 폭발범위
가연성 액체의 증기 또는 가연성가스가 공기 또는 산소와 적당한 비율로 혼합되었을때 , 여기에 점화를 시키면 폭발을 일으킴, 이 적당한 혼합비율의 범위를 폭발범위라고 함
① 폭발범위는 압력 및 온도가 높아지면 넓어짐
② 가스의 압력이 높아지면 하한값은 크게 변하지 않지만 상한값은 높아짐
③ 폭발한계 농도 이하에서는 폭발성 혼합가스를 생성하기 어려움
④ 폭발하한농도가 낮을수록 위험도가 증가하며 , 폭발상한과 폭발하한의 차이가 클수록 위험도가 커짐
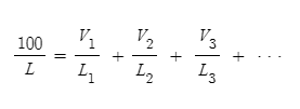
※ 르샤틀리에의 혼합기체의 폭발범위 관계식
원리 : 열역학적 평형이동에 관한 원리, 평형상태에 있는 물질의 온도나 압력을 변화시키면 그 변화를 감소시키는 방향으로 로 반응이 진행되어 새로운 평형에 도달

(L : 폭발범위, Vn : 각 성분 가스의 체적(%), Ln : 각 성분 단일의 연소한계(상한 혹은 하한)
'대기환경기사 > 대기환경기사 1,2,3단원' 카테고리의 다른 글
| [2. 연소공학] 06 배출가스의 상태변화에 따른 보정(온도, 압력 등) (0) | 2023.02.09 |
|---|---|
| [2. 연소공학] 05 화학반응속도 방정식 (0) | 2023.02.09 |
| [2. 연소공학] 03 연소계산 (0) | 2023.02.09 |
| [2. 연소공학] 02 연소장치의 종류와 특징 (0) | 2023.02.05 |
| [2. 연소공학] 01 연소이론 (0) | 2023.02.05 |
댓글