
01 화학반응속도
○ 반응물이 화학반응을 통해 생성물을 생성할 때 단위시간당 반응물이나 생성물의 농도변화를 의미함
즉, 시간의 변화에 따른 농도변화(dC/dt)
○ 농도에 비례관계가 있음

1. 0차반응

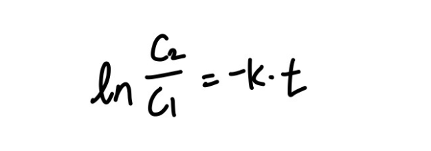
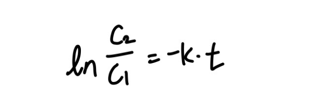
2. 1차반응

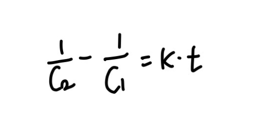
3. 2차반응

4. 희석의 물질수지

5. 반응속도상수
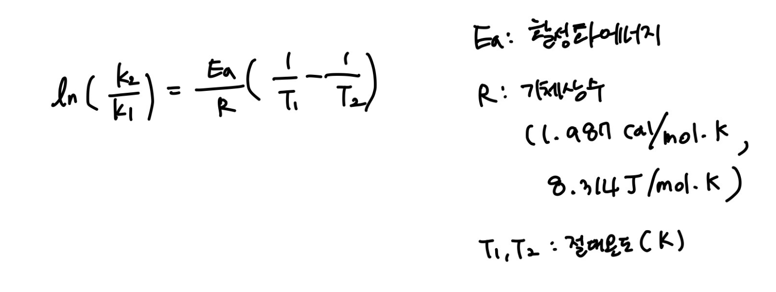
○ 반응속도상수는 반응물질의 농도에 무관
○ 온도가 높아질수록, 활성화에너지는 작아질수록 반응속도상수는 커짐
○ 연쇄반응에서 반응속도가 가장 늦은 반응단계를 속도결정단계라고 함
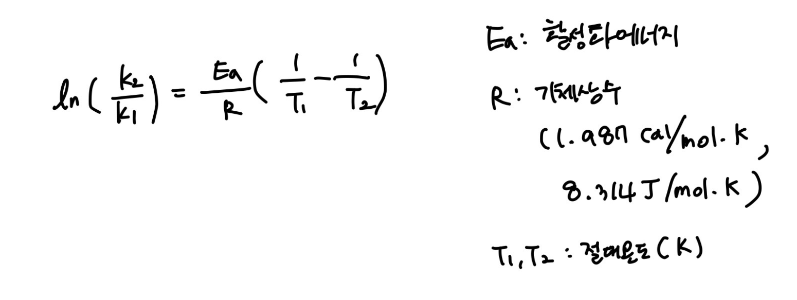
6. 아레니우스 방정식

7. 평형상수(K)
○ 정반응속도와 역반응속도가 같을때 화학평형이라고 함
○ 평형상수는 압력 농도의 영향을 받지 않음

반응형
'대기환경기사 > 대기환경기사 1,2,3단원' 카테고리의 다른 글
| [3. 대기오염방지기술] 01 입자 및 집진기초 (0) | 2023.02.11 |
|---|---|
| [2. 연소공학] 06 배출가스의 상태변화에 따른 보정(온도, 압력 등) (0) | 2023.02.09 |
| [2. 연소공학] 04 등가비와 연소열화학 (0) | 2023.02.09 |
| [2. 연소공학] 03 연소계산 (0) | 2023.02.09 |
| [2. 연소공학] 02 연소장치의 종류와 특징 (0) | 2023.02.05 |
댓글