
01 특정물질별 처리방법
1. 황산화물(SOx)
| 종류 | 특징 | |
| 건식 | 석회석 주입법 | ○ 석회석이 저렴해 재생이 필요없음 ○ 소규모보일러나 노후된 보일러에 많이 사용 ○ SO₂ 제거 효율이 낮으며 고형폐기물 처리량이 많음 ○ 반응식 ![]() |
| 활성산화망간법 | ||
| 활성탄흡착법 | ||
| 접촉, 촉매 산화법 | ||
| NOXSO 공정 | ||
| CuO 공정(산화구리법) | ||
| 습식 | 석회 세정법 | ○ 소규모에 작용 ○ 배기 온도가 낮아 통풍력이 낮음 |
| 암모니아 흡수법 | ||
| 나트륨법 | ||
| Wellman-Lord법 | ||
| 마그네슘법 | ||
2. 질소산화물(NOx)
(1) NOx의 생성기전
① Thermal NOx(고온)
② Fuel NOx(연료)
③ Prompt NOx(급속)
(2) 종류
| 종류 | 특징 | |
| 건식 | 선택적 촉매 환원법 (SCR) |
○ 촉매(TiO₂, V₂O₅) 와 환원제(NH₃, CO, H₂S 등)을 이용해 NOx를 N₂로 환원시키는 방법 ○ 최적 온도 범위 : 300-400℃ ○ NOx 제거효율 90% ○ 촉매가 비싸며 압력손실이 높음 ○ 반응식 ![]() |
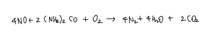
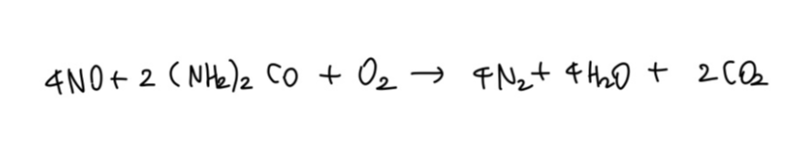
| 선택적 비(무)촉매 환원법 (SNCR) |
○ 반응식 ![]() |
|
| 무촉매 환원법 | ○ 촉매를 사용하지 않고 NO를 암모니아를 이용해 환원시키는 방법 ○ 반응식 ![]() |
|
| 습식 | 물 또는 알칼리수용액의 흡수법 | ○ NO로 처리하기 힘들어 산화제, 산화물 등의 촉매를 이용해 NO₂ 로 산화 후 처리 (NO₂ 는 HNO₃로 제거) |
| 황산흡수법 | ○ H₂SO₄를 이용해 NOHSO₄로 제거 | |
| 수산화물 흡수법 | ○ Ca(OH)₂ 등을 이용해 처리 | |

02 악취처리
1. 악취
| 종류 | 특성 | 황화수소 | 계란 썩은 냄새 |
| 메틸머캅탄 황화메틸 이황화메틸 | 양파 ,양배추 썩는 냄새 | 알데히드류 | 자극적이며 새콤하고 타는듯한 냄새 |
| 암모니아 에틸아민 | 분뇨냄새 | 탄화수소류 | 자극적인 신 냄새 가솔린냄새 |
| 메틸아민 트라이메틸아민 | 생선썩은냄새 | n-뷰티르산 | 땀냄새 |
2. 탈취방법
직접연소법, 촉매연소법, 가열연소법
03 흡수법(Absorption)
1. 흡수이론
(1) 헨리 법칙

(2) 총괄 물질 이동계수

2. 처리설비
| 구분 | 종류 |
| 액분산형 | 충전탑(Packed tower) 분무탑(Spray tower) 사이클론 스크러버(Cyclone scrubber) 제트 스크러버(Jet scrubber) 벤츄리 스크러버(Venturi scrubber) |
| 가스분산형 | 단탑(다공판탑) (Sieve plate tower) 포종탑(Bubble cap tray tower) 기포탑(Bubble tower) |
※ 충전탑 용어
Hold up : 충전층 내 액 보유량
Loading point : Hold up 의 증가로 급격한 압력 변화가 생기는 점
Flooding point : 가스 속도가 커져 액이 흐르지 않고 넘는 점
편류현상 : 일반적으로 충전탑의 직경(D) 과 충전제 직경(d) 의 비 D/d가 8-10일때 편류현상이 최소
※ 충전물 구비조건
단위체적당 표면적이 클 것
압력손실이 적을 것
충전밀도, 공극률이 클 것
액가스 분포를 균일하게 유지할 것
내식성, 내열성이 클 것
내구성이 좋고 가벼울 것
※ 흡수액 구비조건
휘발성 점도 빙점 부식성 독성 가격이 낮아야함
용해도 비점이 높아야함
용매의 화학적 성질과 비슷
화학적으로 안정적
※ 충전탑의 높이 계산

04 흡착처리(Adsorption)
1. 흡착 형태
| 구분 | 물리적 흡착 | 화학적 흡착 |
| 흡착원리 | 반데르발스힘 | 화학결합 |
| 흡착제의 재생 | 재생가능(가역적) | 재생 불가능(비가역적) |
| 오염가스 회수 | 용이 | 어려움 |
| 온도의 영향 | 영향이 큼 | 없음 |
| 흡착층 | 다층 | 단분자층 |
| 활성온도 | 낮은온도 | 대체적 높은 온도 |
| 흡착열 | 낮음 | 높음 |
2. 흡착제
(1) 흡착제의 선택조건
단위질량당 표면적 이 클것
기체 흐름에 대한 압력손실이 적을 것
흡착제의 강도와 경도가 클 것
흡착율이 우수할 것
흡착제의 재생이 용이할 것
흡착물질의 회수가 용이할 것
온도, 가스조성에 대한 고려를 할 것
(2) 흡착제의 종류
활성탄, 활성알루미나, 보크사이트, 실리카겔, 황산스트론튬, 마그네시아, 합성제올라이트
3. 파과점, 종말점
(1) 파과점(Breakthrough point)
흡착제층 전체가 포화되어 배출가스 중에 오염가스 일부가 남게 되는 점으로 일반적으로 유출농도가 입구농도의 5-10%에 달하는 시점
(2) 종말점(End point)
파과점을 지난 이후부터는 배출가스 중 오염농도가 급격히 상승, 돌파곡선의 최고 농도에 이른 시점
4. 흡착장치(유동층 이동층 고정층)
'대기환경기사 > 대기환경기사 1,2,3단원' 카테고리의 다른 글
| [3. 대기오염방지기술] 04 환기 및 통풍 (0) | 2023.02.16 |
|---|---|
| [3. 대기오염방지기술] 02 집진기술 (0) | 2023.02.12 |
| [3. 대기오염방지기술] 01 입자 및 집진기초 (0) | 2023.02.11 |
| [2. 연소공학] 06 배출가스의 상태변화에 따른 보정(온도, 압력 등) (0) | 2023.02.09 |
| [2. 연소공학] 05 화학반응속도 방정식 (0) | 2023.02.09 |




댓글